Beranda
/ How To Compute The Coefficient Of Correlation / Baffled By Covariance And Correlation Get The Math And The Application In Analytics For Both The Terms By Srishti Saha Towards Data Science / The calculated value of the correlation coefficient explains the exactness between the predicted and actual values.
How To Compute The Coefficient Of Correlation / Baffled By Covariance And Correlation Get The Math And The Application In Analytics For Both The Terms By Srishti Saha Towards Data Science / The calculated value of the correlation coefficient explains the exactness between the predicted and actual values.
Insurance Gas/Electricity Loans Mortgage Attorney Lawyer Donate Conference Call Degree Credit Treatment Software Classes Recovery Trading Rehab Hosting Transfer Cord Blood Claim compensation mesothelioma mesothelioma attorney Houston car accident lawyer moreno valley can you sue a doctor for wrong diagnosis doctorate in security top online doctoral programs in business educational leadership doctoral programs online car accident doctor atlanta car accident doctor atlanta accident attorney rancho Cucamonga truck accident attorney san Antonio ONLINE BUSINESS DEGREE PROGRAMS ACCREDITED online accredited psychology degree masters degree in human resources online public administration masters degree online bitcoin merchant account bitcoin merchant services compare car insurance auto insurance troy mi seo explanation digital marketing degree floridaseo company fitness showrooms stamfordct how to work more efficiently seowordpress tips meaning of seo what is an seo what does an seo do what seo stands for best seotips google seo advice seo steps, The secure cloud-based platform for smart service delivery. Safelink is used by legal, professional and financial services to protect sensitive information, accelerate business processes and increase productivity. Use Safelink to collaborate securely with clients, colleagues and external parties. Safelink has a menu of workspace types with advanced features for dispute resolution, running deals and customised client portal creation. All data is encrypted (at rest and in transit and you retain your own encryption keys. Our titan security framework ensures your data is secure and you even have the option to choose your own data location from Channel Islands, London (UK), Dublin (EU), Australia.
How To Compute The Coefficient Of Correlation / Baffled By Covariance And Correlation Get The Math And The Application In Analytics For Both The Terms By Srishti Saha Towards Data Science / The calculated value of the correlation coefficient explains the exactness between the predicted and actual values.. To measure r, the strength of a correlation, the covariance (the dependence between variables) needs to be determined and then divided by the product of the variables' standard deviations. It also plots the direction of there relationship. This means a perfect positive relationship between two variables (x and y).this result can be applied thus, for every increase in variable x, there is a corresponding increase in variable y. It tells us how strongly things are related to each other, and what direction the relationship is in! We can call it just the correlation coefficient.
The correlation coefficient is used to measure the strength of the linear relationship between two variables on a graph. Next, one must calculate each. This means a perfect positive relationship between two variables (x and y).this result can be applied thus, for every increase in variable x, there is a corresponding increase in variable y. Gather the data of the variable and label the variables x and y. Next, we will calculate the correlation coefficient between the two variables.
Pearson Correlation Coefficient Quick Introduction from www.spss-tutorials.com R is then the correlation between height and weight. You can use the covariance formula to compute the value of r. What is the alternative method of calculating the coefficient of correlation? A correlation coefficient formula is used to determine the relationship strength between 2 continuous variables. The calculated value of the correlation coefficient explains the exactness between the predicted and actual values. To measure r, the strength of a correlation, the covariance (the dependence between variables) needs to be determined and then divided by the product of the variables' standard deviations. We have all the values in the above table with n = 6. The other graph has a negative correlation coefficient, and one of the graphs.
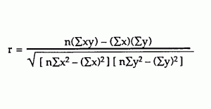
There are a few different types of formula to determine the correlation coefficient, i used the below formula.
The formula for the pearson correlation coefficient can be calculated by using the following steps: Next, we will calculate the correlation coefficient between the two variables. One way to quantify the relationship between two variables is to use the pearson correlation coefficient, which is a measure of the linear association between two variables. Correlation coefficient measures the relationship between two variables. The calculated value of the correlation coefficient explains the exactness between the predicted and actual values. For xlist and ylist, make sure l1 and l2 are selected since these are the columns we used to input our data. In this example, the x variable is the height and the y variable is the weight. The equation given below summarizes the above concept: ρxy = cov(x,y) σxσy ρ x y = cov (x, y) σ x σ y Using the formula discussed above, we can calculate the correlation coefficient. Enter the stat function and then hit the calc button. Open excel 2007 and sum in one column the numbers for the first set of data. This means a perfect positive relationship between two variables (x and y).this result can be applied thus, for every increase in variable x, there is a corresponding increase in variable y. This coefficient is used to calculate the correlation with the terms:
In order to calculate the correlation coefficient using the formula above, you must undertake the following steps: The results obtained from calculating the correlation coefficient can be interpreted as follow: The correlation coefficient is a measure of how well the data approximates a straight line. For ordinal scales, the correlation coefficient can be calculated by using spearman's rho. Correlation coefficient measures the relationship between two variables.
How To Use The Correl Function In Google Sheets Sheetgo Blog from blog.sheetgo.com The correlation coefficient, r, tells us about the strength and direction of the linear relationship between x and y.however, the reliability of the linear model also depends on how many observed data points are in the sample. One of the most used ones is the pearson correlation coefficient. This coefficient is used to calculate the correlation with the terms: Linreg (a+bx) and press enter. Treating interest rate as one variable, say x, and treating inflation rate as another variable as y. The correlation coefficient describes how well the regression line fits the given datapoints between x and y. Then scroll down to 8: As variable x increases, variable y increases.
It also plots the direction of there relationship.
Correlation coefficient measures the relationship between two variables. The correlation coefficient is denoted by r. Enter the stat function and then hit the calc button. The correlation coefficient, r, tells us about the strength and direction of the linear relationship between x and y.however, the reliability of the linear model also depends on how many observed data points are in the sample. The closer the coefficient is to 1, the higher the correlation. Using the formula discussed above, we can calculate the correlation coefficient. For xlist and ylist, make sure l1 and l2 are selected since these are the columns we used to input our data. The correlation coefficient r can be calculated with the above formula where x and y are the variables which you want to test for correlation. To measure r, the strength of a correlation, the covariance (the dependence between variables) needs to be determined and then divided by the product of the variables' standard deviations. You can use the covariance formula to compute the value of r. Gather the data of the variable and label the variables x and y. For example, you would add the numbers 10, 20, 30, 40, 50 and 60 in the a2, a3, a4, a5, a6 and a7 cells of your excel worksheet. One of the graphs demonstrates a positive correlation coefficient.
This value is then divided by the product of standard deviations for these variables. Linreg (a+bx) and press enter. We have all the values in the above table with n = 6. The correlation coefficient is used to measure the strength of the linear relationship between two variables on a graph. One of the most used ones is the pearson correlation coefficient.
Correlation Biology For Life from www.biologyforlife.com Correlation coefficient measures the relationship between two variables. The correlation coefficient refers to the measurement of the strength between two separate variables. One of the most used ones is the pearson correlation coefficient. Treating interest rate as one variable, say x, and treating inflation rate as another variable as y. R is then the correlation between height and weight. Open excel 2007 and sum in one column the numbers for the first set of data. Next, we will calculate the correlation coefficient between the two variables. The correlation coefficient can be calculated by first determining the covariance of the given variables.
The closer the coefficient is to 1, the higher the correlation.
Correlation coefficient measures the relationship between two variables. A coefficient of 1 represents a perfect positive correlation. Next, we will calculate the correlation coefficient between the two variables. The correlation coefficient is calculated by the following formula: Using the formula discussed above, we can calculate the correlation coefficient. How to calculate correlation coefficients. We need to look at both the value of the correlation coefficient r and the sample size n, together. The closer the coefficient is to 1, the higher the correlation. Next, one must calculate each. If correlation coefficient value is positive, then there is a similar and identical relation between the two variables. What is the alternative method of calculating the coefficient of correlation? For ordinal scales, the correlation coefficient can be calculated by using spearman's rho. Linreg (a+bx) and press enter.